唐山世园会限产名单
唐山信息港 发表于:2016-3-19 23:55 复制链接 看图 发表新帖
阅读数:5727
唐山世园会限产名单

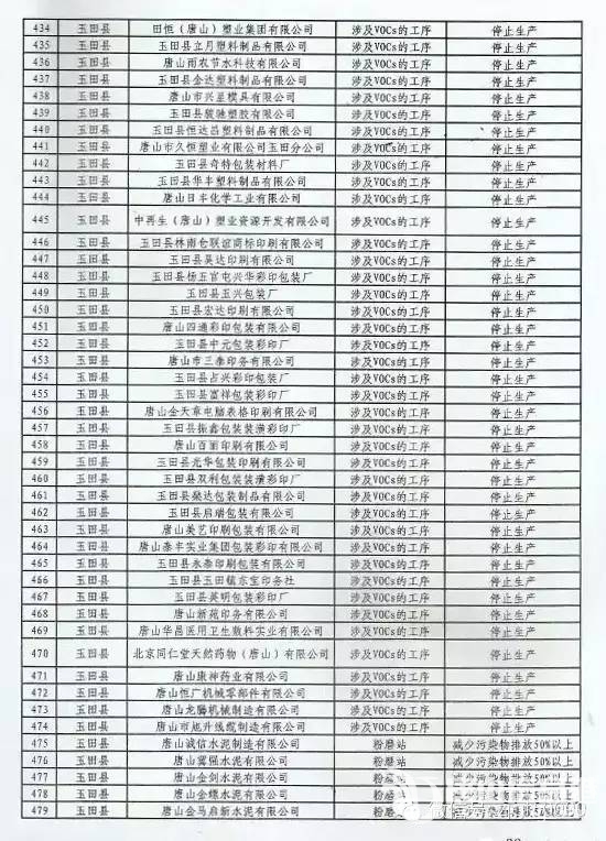
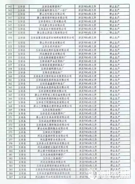
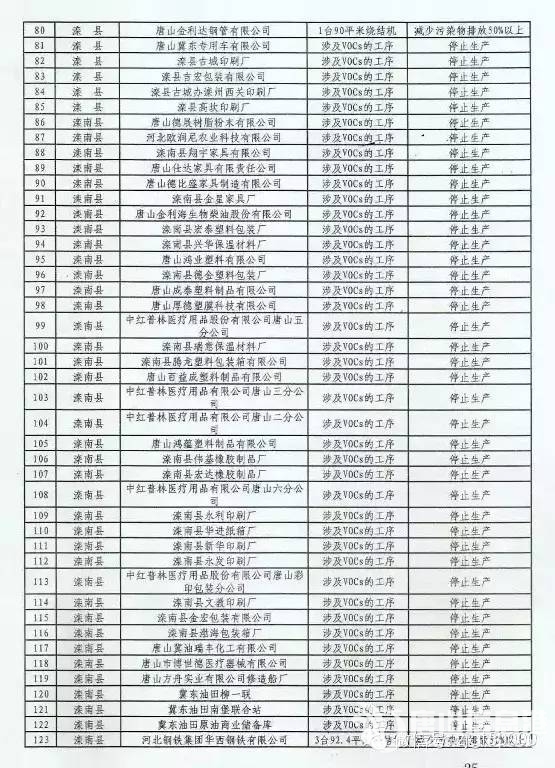
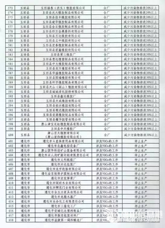
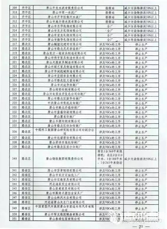
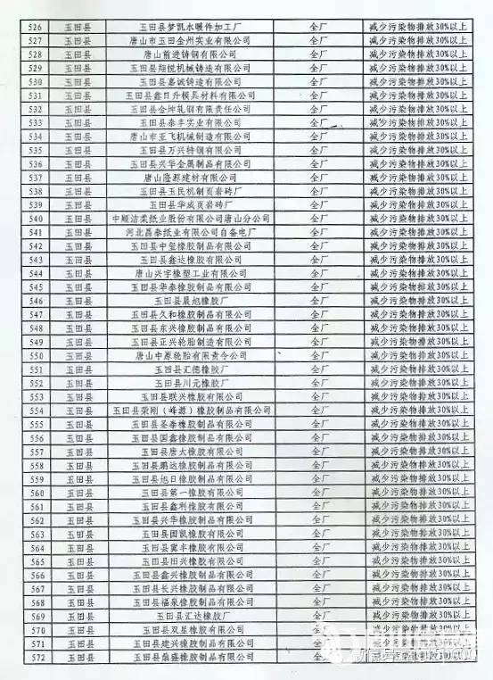
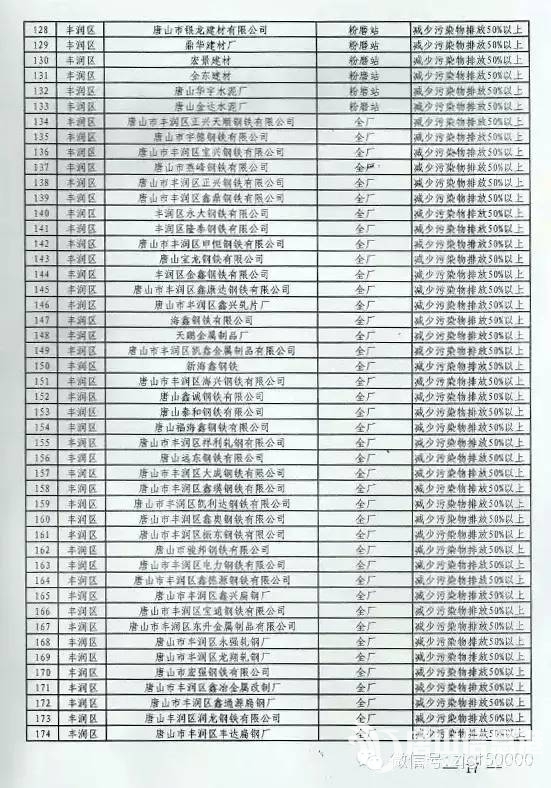
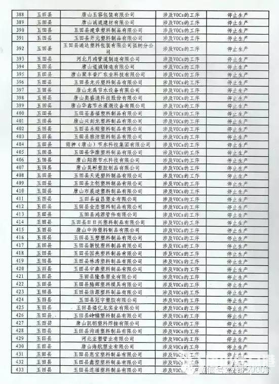
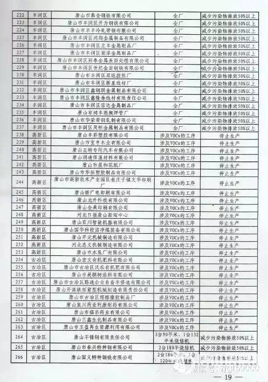
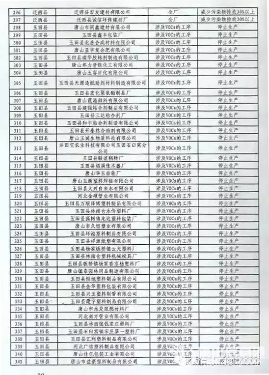
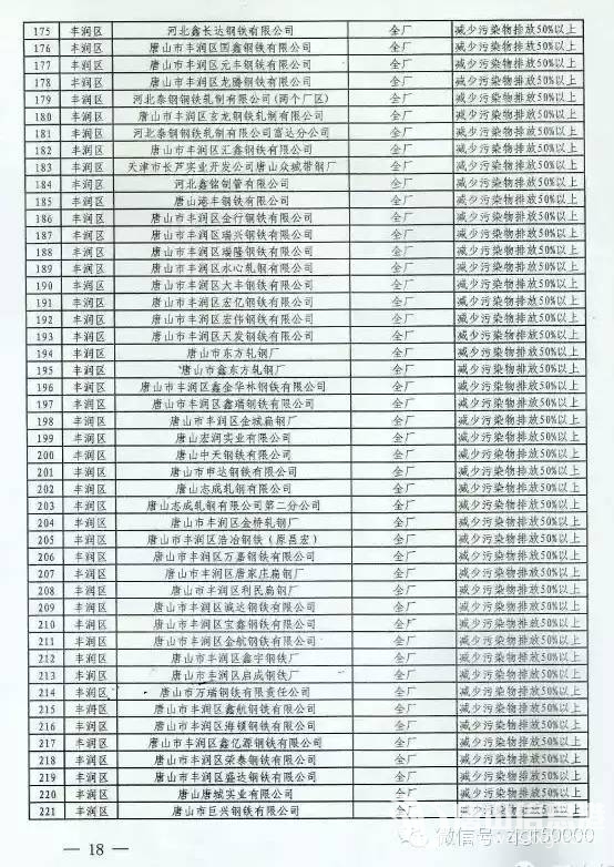
中共唐山市委办公厅、唐山市人民政府办公厅,于2016年3月18日,召开唐山市环境保护工作会议,现将有关会议内容通知如下:
352beecee995bb78d8178ef320bc5c33.jpg

e0fa9d1898700deeb601c804b958fe96.jpg
a54d71293f4dae7d31ee883edd6f05b3.jpg
7e3607c5ef58ed85bc10401a6f0b9855.jpg
26d00c4e8e13fc837a791d203972b3bf.jpg
303094aea8ff3007de23cd3d0cfe15f7.jpg
4ffb3a2499dacafbee17de81a0faf768.jpg
4e3f5a4d17445443e3121583c9bc0a50.jpg
086ca3c9bb37060495adf9e95ca3ef86.jpg

09bafaa27ad12ec3cb23aec2b33df6cc.jpg
1dad76fd11d2618235861097ae60fd28.jpg
c4f69a616df69678acf0e2094393000e.jpg
7b23ac279f3521f182776b3687b20be5.jpg
62169634eacb8f256d3711b345470591.jpg
56c21ca752116166fbd1a65712549aeb.jpg
a6e6d194d47ee2fb7d0d7b337f5a1a93.jpg
5e8adf29a21cfe35795781240fd39a12.jpg
6d28a7ef2bcca5a65c6dec79022c1f43.jpg

a51a4b214bff342d83d6a14e04827dbb.jpg
43dd510f035ebf3d1a8136897f47f039.jpg

b5d93db1e37882849d3d0fc40b7adbff.jpg
1d30383a670cad0ae42a3179c48de850.jpg
3ce6b71deab5150ddd25713e6caf1de1.jpg
2b0af041eef8e6ac343e549ad6c7033b.jpg
26611ded2d4a7eec16df14769a106708.jpg
8bdc337ff21c4d89a26ebef74c4910b8.jpg
3de7167cccf11762e28cbd634284bd7e.jpg
0ff299b58e4a8b5b2a9d793d343225b2.jpg
a940c537202da7abce9359c473a29925.jpg
28fa387bd7f122722da959122d1d292b.jpg
e35a834d789b9930b4ae20e84576d3e1.jpg
7cd578fb2b5668a683f1b99964c55ef6.jpg
384e97835cf7891da677a7c1d9eb7001.jpg

d5c443aed2a9d77315caf0b9de4b860b.jpg
e8738dff99cbdf57ae7ac26f026d5627.jpg
684ea98835b80d572c8ce906cba61bcb.jpg
36d97e09990bd46a867775c2077cbb05.jpg
5fa2fa238a7f5a77150a35003ed1f7e5.jpg
返回列表 使用道具 举报
条评论
您需要登录后才可以回帖 登录 | 立即注册
相关推荐
©2001-2021 唐山信息港 http://www.tsxxg.com冀ICP备2026004523号
首页联系我们客服微信:14369595Comsenz Inc.