交通违法曝光系列③交警部门曝光200辆车辆
tangshan 发表于:2017-6-16 10:33 复制链接 看图 发表新帖
阅读数:5390
交通违法曝光系列③交警部门曝光200辆闯红灯走错道车辆

交通违法曝光系列③交警部门曝光200辆车辆

交通违法曝光系列③交警部门曝光200辆车辆


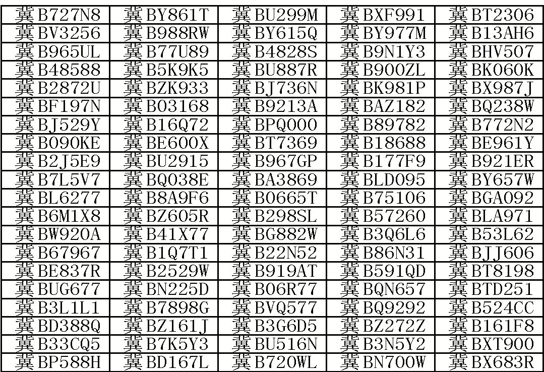
闯红灯车辆号牌

交通违法曝光系列③交警部门曝光200辆车辆

交通违法曝光系列③交警部门曝光200辆车辆


占用公交车专用车道车辆号牌

  环渤海新闻网消息 为净化我市道路交通环境,规范道路通行秩序,市公安交警支队此次对200辆存在闯红灯、占用公交专用车道的车辆予以曝光。
  据介绍,驾驶机动车违反道路交通信号灯通行的违法行为,不仅扰乱交通秩序,还极易引发交通事故。对于此类行为,相关法律法规明确规定,给予违法驾驶人100元罚款的处罚,并记6分。
  我市公交专用车道每天交通高峰时段(7:00至9:00,17:00至19:00),仅限公共汽车通行,其他车辆不得进入公交专用车道内行驶。对违法占用公交专用道的其他车辆,依法处以100元罚款。(钱春 魏伟)
条评论
您需要登录后才可以回帖 登录 | 立即注册
相关推荐
©2001-2021 唐山信息港 http://www.tsxxg.com冀ICP备2026004523号
首页联系我们客服微信:14369595Comsenz Inc.