唐山这个小区经济适用房房源公示啦!价格为3497元/平方米
唐山信息港 发表于:2017-8-9 09:32 复制链接 看图 发表新帖
阅读数:3367
今天(8月8日),记者从唐山市住房和城乡建设局官网上获悉,唐山市住房保障管理中心公布了《2017年唐山市河联园小区经济适用住房销售办法》《唐山市中心区2017年8月份销售河联园小区经济适用住房抽取选房顺序号操作办法》及《河联园小区经济适用住房2017年8月公示房源明细》。

2017年唐山市河联园小区经济适用住房销售办法
按照《唐山市经济适用住房管理办法》(唐山市人民政府令〔2011〕3号文)的有关规定,本着公开、公平、公正原则,针对河联园小区经济适用住房可销售房源较为充沛、申请购房的家庭数量较少的实际情况,特制订本销售办法,用于指导2017年河联园小区经济适用住房的销售工作。一、销售房源配售的经济适用住房房源坐落于河联园小区(东出口立交桥南侧),结构为钢混结构,楼层为10至28层的高层及小高层,装修状况为毛坯房。房源数量将依据当批次购买家庭的情况具体确定。二、销售对象经审核、公示,符合当批经济适用住房销售条件的购买家庭。三、销售方式经济适用住房实行预售[(唐)房预售证第201301号]。
四、销售价格保障面积内基准价格为3497.01元/平方米,是按照物价部门批准的基准价格确定;超出保障面积部分销售基准价格为4751.65元/平方米(已扣除土地出让金),是按照房地产评估机构于销售期,评估的同地段的市场平均价格确定,以上两部分价格均根据楼层、朝向等因素进行调整。五、销售地点和时间销售地点:唐山市住房保障管理中心一层大厅。销售时间:销售当期具体确定。六、销售方法已纳入当批经济适用住房销售范围的保障家庭,由唐山市住房保障管理中心负责组织抽签确定选房顺序号,保障家庭依据选房顺序号,依次选购经济适用住房。
七、组织实施唐山市中心区经济适用住房的销售工作由唐山市住房和城乡建设局负责指导组织,由唐山市住房保障管理中心具体负责实施。本办法自公布之日起执行。  

唐山市中心区2017年8月份销售河联园小区经济适用住房抽取选房顺序号操作办法  按照《唐山市经济适用住房管理办法》的有关规定,本着公开、公平、公正的原则,为确保市中心区2017年8月份经济适用住房销售工作的顺利进行,特制定以下抽取选房顺序号(以下简称摇号)操作办法。
一、基本程序基本程序:(一)工作人员将已公示的配售房源信息以现场展示;(二)工作人员将提前封存的抽签顺序号予以现场展示;
(三)抽签确定选房顺序号;
(四)申请家庭对整个抽签过程和结果予以全程监督。

二、申请家庭抽签办法已纳入此批经济适用住房配售范围的家庭按照签到顺序号,依次抽取选房顺序号,并予以现场展示,抽取顺序号工作结束后,由工作人员现场宣读选房顺序号,申请家庭确认抽签结果。

三、时间    2017年8月10日上午9时

四、地点唐山市住房保障管理中心大厅

五、销售对象已纳入此批经济适用住房配售范围的申购家庭17户。

六、相关规定
1、在参加抽签的申购人资格真实有效的前提下,抽签结果一经现场确认,即为最终结果,不得以任何理由进行更改。
2、扰乱会场秩序或拒绝接受抽签结果的,视为自动放弃购买资格,且两年内不得重新预登记经济适用住房。
  唐山市住房保障管理中心

二〇一七年八月八日

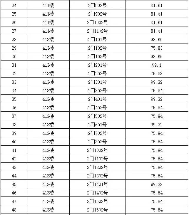
河联园小区经济适用住房2017年8月公示房源明细
ef983bc4ee9591e8609d278f472a0010.jpg

来源  唐山市住房和城乡建设局官网








返回列表 使用道具 举报
条评论
您需要登录后才可以回帖 登录 | 立即注册
相关推荐
©2001-2021 唐山信息港 http://www.tsxxg.com冀ICP备2026004523号
首页联系我们客服微信:14369595Comsenz Inc.