唐山人省钱啦!这486款汽车车型免征车辆购置税!
唐山信息港 发表于:2017-9-7 20:59 复制链接 看图 发表新帖
阅读数:4302
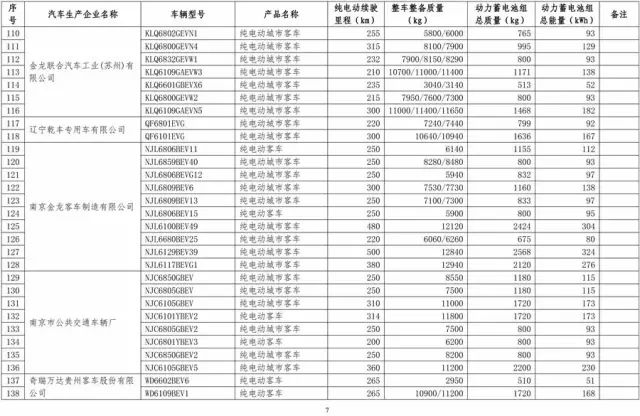
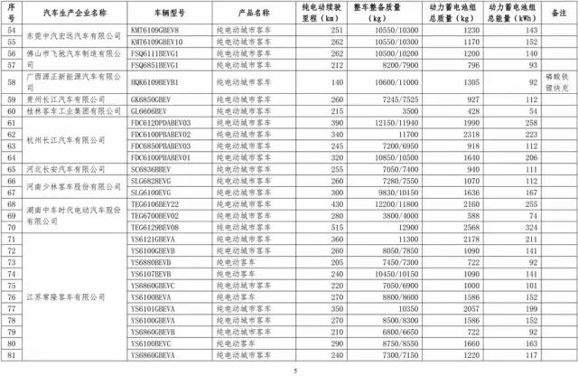
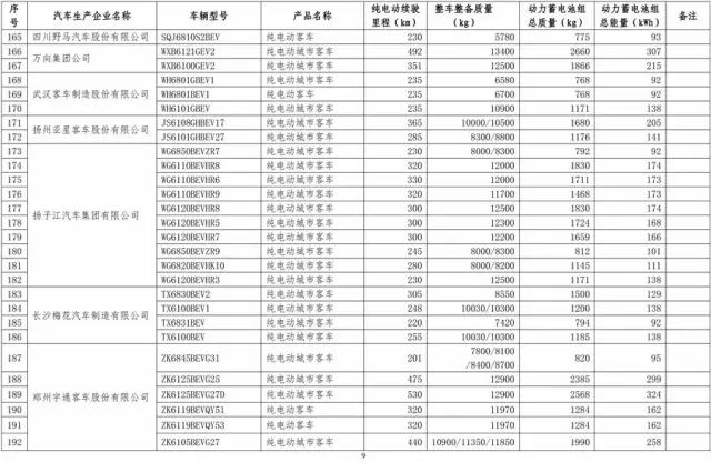
       根据《财政部 国家税务总局 工业和信息化部关于免征新能源汽车车辆购置税的公告》(公告2014年第53号)的要求,工业和信息化部发布了《免征车辆购置税的新能源汽车车型目录》(第十二批),共有486款新能源车型进入本批目录。
其中,纯电动车方面,共有50款乘用车,228款客车,1款货车,138款专用车。插电式混合动力方面,共有2款乘用车,66款客车。燃料电池车方面,共有1款客车。

快看看有你中意的车型吗?
db96b337deed7b6379638095fe6dd76a.jpg
(点击图片查看大图)

63cbbeb502085ae6d00d6d2a22284978.jpg

9c64d744b10494687d3cebb0f64738cb.jpg

d322f2062cf94dfe3fa5786628c683ed.jpg

250960468996e2ae907704ed71182f07.jpg

a5729a268062b466c36fc60785c8ada7.jpg

d84078926d0dea182b4a27b38ed333ce.jpg

38369d0891afebaf930d17e5acefcb60.jpg

a88a65d62548a3e51b9a9108e81d296f.jpg

e4b1c23378c3408ec551076d8ced3a0e.jpg

c70c76fe38f07f6ce0846d9d9964556b.jpg

ce6a2d24d5d0e339233d122bbc172ed6.jpg

ff34082c0e52dd790aceeeb8e22bf903.jpg

bb3a59ad9eb7e7f830ca79f40fda8048.jpg

445d45f09913999f1376d9456134a61a.jpg

92762638d31008fa8c2c628386110877.jpg

11c6226eaef41c9780fba05fe3fdea8a.jpg

128009619d0773c706c79a599853885b.jpg

c10c23b4e0b3178145912b504d9d3316.jpg

eeef50a41c834126476a046ab6b3f39c.jpg

50b38c08e948fc552a35447a51254c2d.jpg

ce04beb5aca7a353b75f4a488c507ac8.jpg

18e3c78afe9dbfb91b7676f5bed7c5dc.jpg

80c2b09958f73e07c7d2f2012a85a3f4.jpg

56ec280cb4335a11449fd6ebd2c96020.jpg

fdbb9ccf4c8923b455dc57ddde04aaed.jpg

7fc13fcfb492bb1d09e53d65f993397c.jpg

9be554dfd10c70464eeb5b49439eac29.jpg
来源 | 河北发布
返回列表 使用道具 举报
条评论
您需要登录后才可以回帖 登录 | 立即注册
相关推荐
©2001-2021 唐山信息港 http://www.tsxxg.com冀ICP备2026004523号
首页联系我们客服微信:14369595Comsenz Inc.