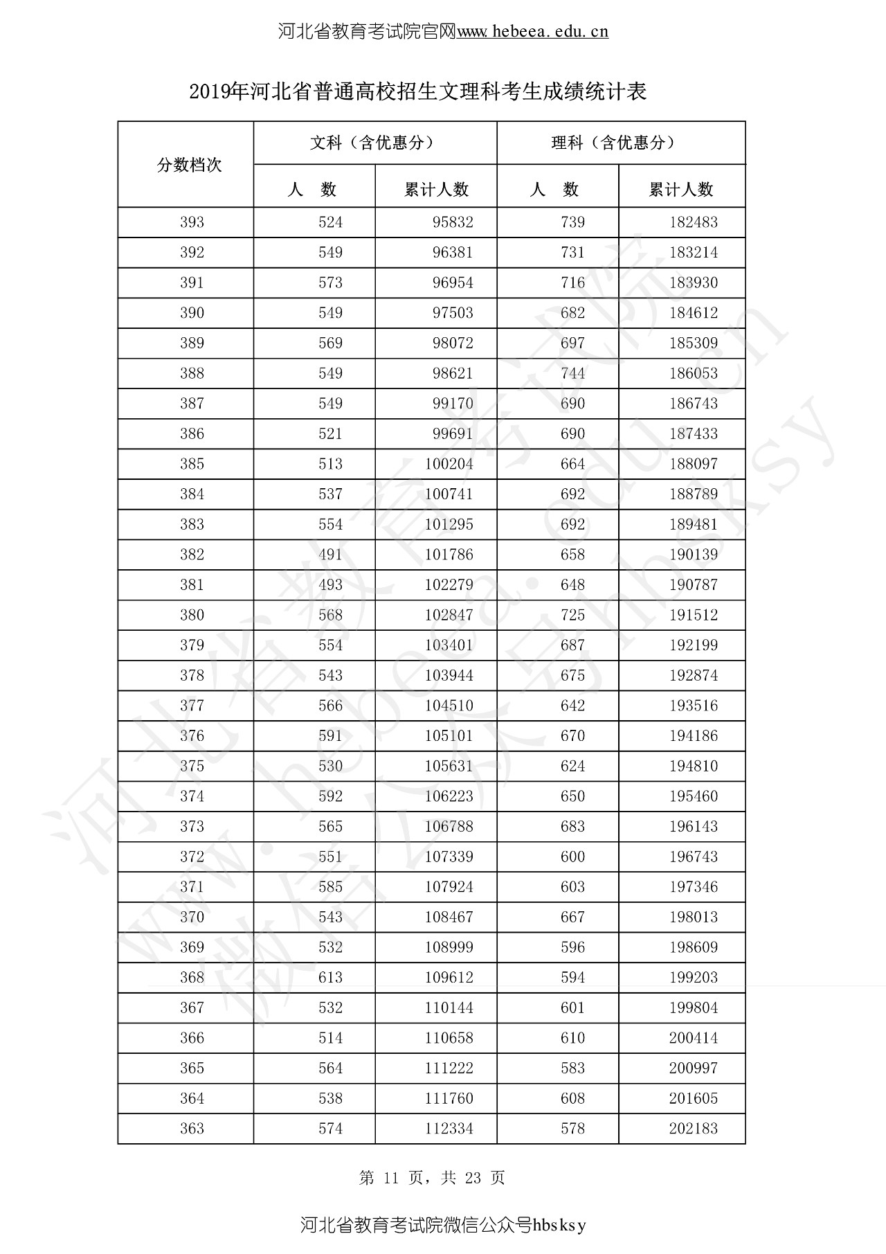
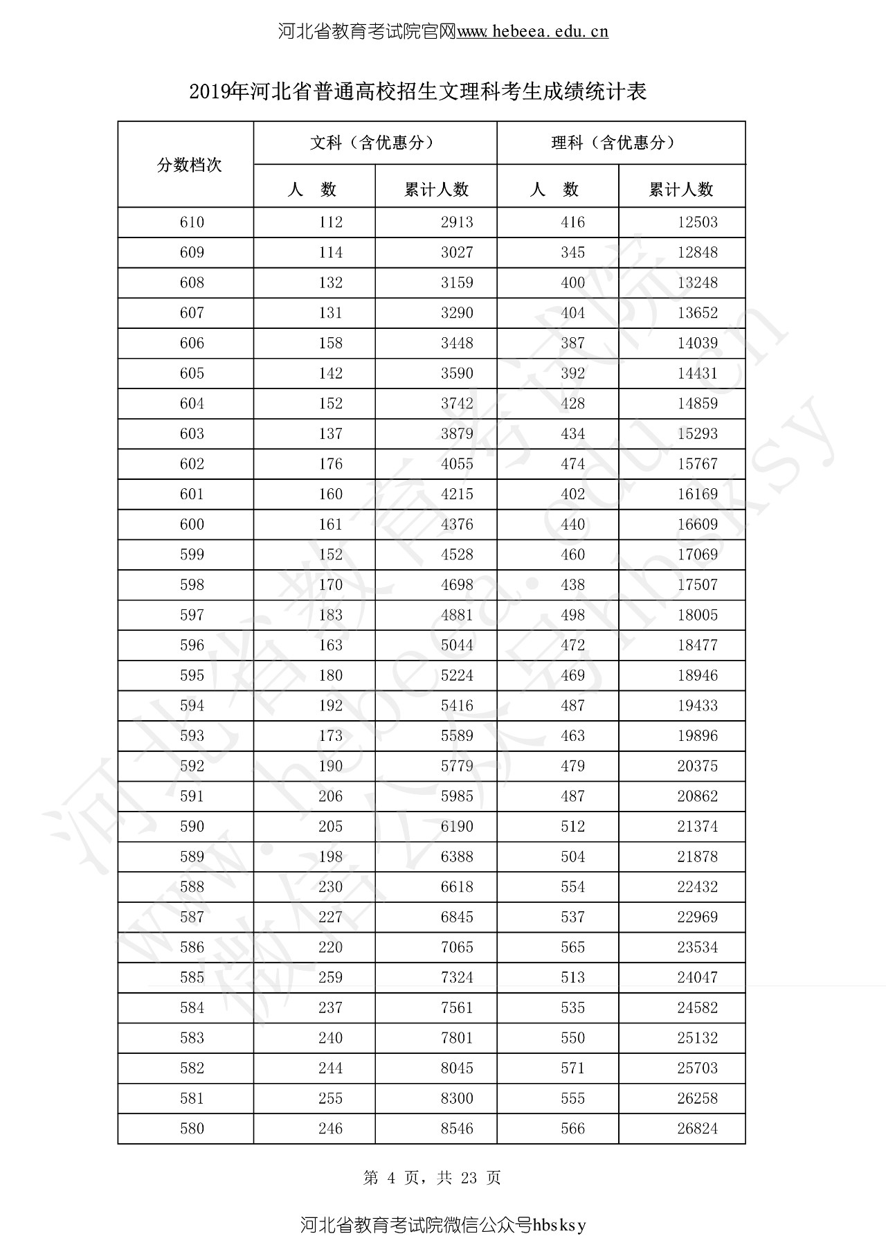
2019河北高考一分一档表出炉!
唐山信息港 发表于:2019-6-23 09:18 复制链接 看图 发表新帖
阅读数:6379
河北高考成绩可以查询了!相信考生现在都已经知道自己的分数了!全省考生们考的如何?一分一档表新鲜出炉!
2019年河北普通高校招生文理科一分一档表

c6e9faddae74f356b1e649f14eef562e.jpg

d439f88337d290a425fc3c673398ec63.jpg

293804eaace43307d719e481f8bcab69.jpg

0f4e55a8e15a1a4f17cd2cca8752319b.jpg

d4bc6b54c24dd812bfa85636b058750d.jpg

c4e2cb95df843aaf0ae8855e9496f2e2.jpg

32241e6e1b3964c52a4a7356585fd705.jpg

6fbe73510dd4b245ae31c2c50956fdc5.jpg

6ecbf6dccbcae6a99e229c5c5eadc278.jpg

1479bd7c287ef6288573d0e6ce369055.jpg

4ad822e8bf4dabbff29beb4fbad032cb.jpg

389e3e8bb055fb153ad0674cb64a0f09.jpg

ad03441db56d26c5ced7d68bf715660f.jpg

c9e37e1160cf6a1abd8d91b31e81a490.jpg

5639525ff95c14a28dd6b9165bdfa1f5.jpg

47f53835cdc994bf61585fbca983d164.jpg

609d01b7774b944fab4b44f43ca6610b.jpg

5476be1f69f282a4d5bcdb6ae0567e56.jpg

37c5b3f2e3f5118ec6f107a87ff02926.jpg

a640637e94a0d1e066b9466262b07c95.jpg

94616f0f41ae76c006b400f53e27896f.jpg

6c8726e15dbc9ac3989f370b07ee01a0.jpg

783fd2ae8d8e7967a6c02091df56ba06.jpg


高考录取分数线从河北省教育考试院获悉,经河北省招生委员会全体会议研究,确定了今年河北省普通高校招生各批各类录取控制分数线。其中,文史类本科一批为 549 分;理工类本科一批为 502 分。
返回列表 使用道具 举报
条评论
您需要登录后才可以回帖 登录 | 立即注册
相关推荐
©2001-2021 唐山信息港 http://www.tsxxg.com冀ICP备2026004523号
首页联系我们客服微信:14369595Comsenz Inc.