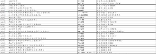
唐山市预防接种门诊信息大全,值得收藏!
唐山信息港 发表于:2020-9-16 07:04 复制链接 看图 发表新帖
阅读数:5451
12225340_260714.png
12225341_953234.png
12225342_769354.png
12225343_121865.png
12225344_901043.png
12225345_851805.png
12225346_019421.png
12225347_830818.png
12225348_917208.png
12225349_160320.png
12225350_743964.png
12225351_964252.png
12225352_298011.png
12225353_642220.png
返回列表 使用道具 举报
条评论
您需要登录后才可以回帖 登录 | 立即注册
相关推荐
©2001-2021 唐山信息港 http://www.tsxxg.com冀ICP备2026004523号
首页联系我们客服微信:14369595Comsenz Inc.